3月,近60%的混合资金资金为正,Yinhua Tongli选择
- 编辑:dafa888黄金版官网 -3月,近60%的混合资金资金为正,Yinhua Tongli选择
中国经济网络保留的所有权利
中国经济网络新媒体矩阵
互联网视听程序许可证(0107190)(北京ICP040090)
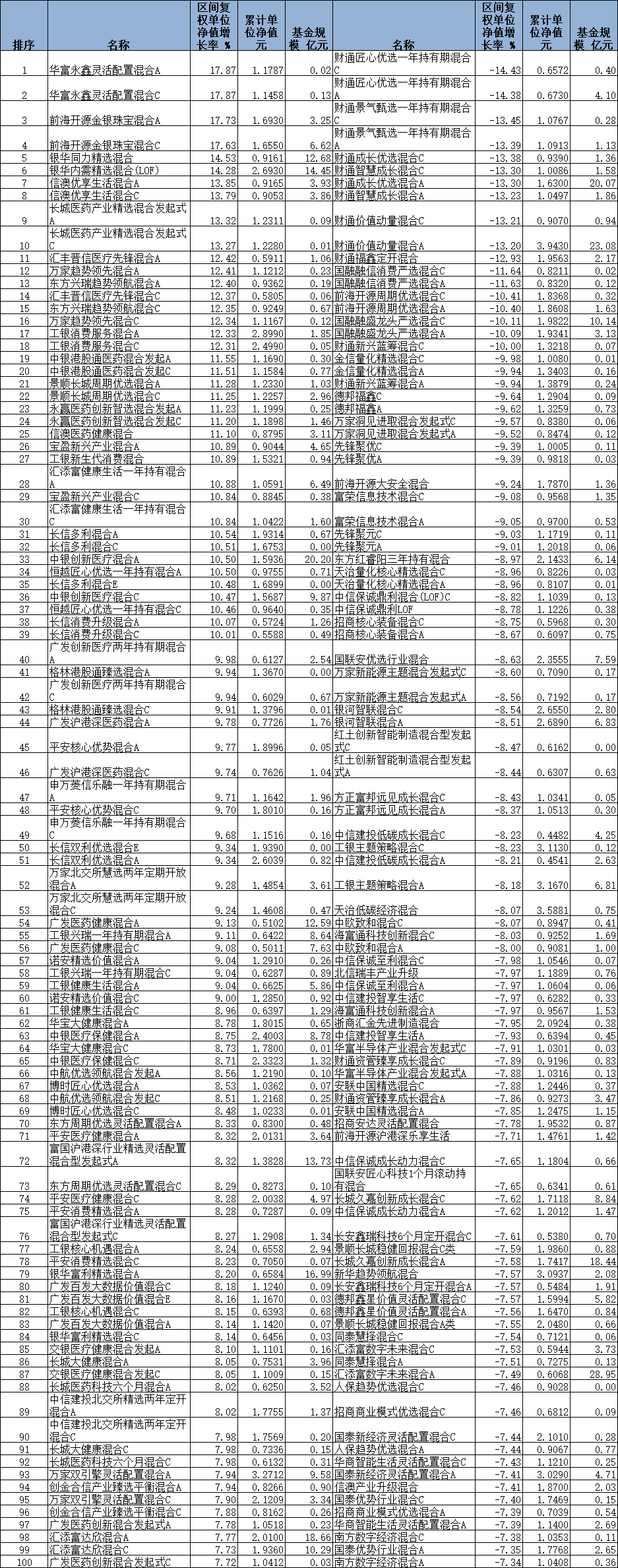
中国经济网络北京,4月3日(记者李隆)将于今年3月,在8,405个混合 - 筹款中,整个市场的性能可比性(单独计算,均为下方)4,911基金增加了净值,价值约为58.4%; 3,462个资金降低了净值,其他32个资金保持不变。在增加的列表中,三月份总共有39个混合基金增长了10%以上。其中,Yinhua Tongli选择混合物的大小,Yinhua国内需求选择Halo -Halong(LOF)和中国银行创新医疗混合a的大小超过10亿元人民币,直到2024年12月31日。今年3月,这两项基金分别增长了14.53%和14.28%。 Yinhua Tongli选择的混音 - 成立于2020年6月16日,Yinhua国内需求选择的混合物-HALONG HALO -HALONG(LOF)于2009年7月1日成立。2025年4月1日,其合并净值为0.9106元和2.6720元。 At the end of the fourth quarter of last year, 7 of the top ten heavy-held Yinhua Tongli stocks selected mixed and Yinhua domestic demand selected mixed (LOF) was consistent, and both held heavy positions in Shengda Resources, Shanjin International, Superstar Agriculture and Animal Husbandry, Cicc Gold, Chifng, Chifng Gold, Superstar Gold, and Quinyin hi-tech.此外,Yinhua Tongli选择组合还拥有Wen's Co,Ltd,Huayu Mining和Shennong Group和Shennong Group和Yinhua国内需求选择混合(LOF)也持有中国国家海上石油公司和中国移动的Hunan Gold。 Wang Ligang和Liu Hui在2024年的年度报告中说,他们将继续维持黄金和白银所有权和农业分配的分配,并继续关注Low Divils的方向f感谢。其他行业(例如人工智能和医学)也将在关注的同时参与适当的规模。根据信息,Wang Ligang于2012年7月加入Yinhua基金,并在研究部门担任行业行业的受众,投资管理部门投资部门的助理经理,目前是投资管理部门基金的经理。 Liu Hui曾在CITIC Securities Co,Ltd,Citic Fundmanagement Co,Ltd。和Beijing Jiashu Asset Management Co,Ltd。工作,并从事投资研究。他于2016年11月加入Yinhua基金,目前在投资管理部门工作。中国银行创新医疗在三月份混合了10.50%的增长。该基金于2019年11月13日成立。2025年4月1日,其合并净值为1.6841元。根据2024年的年度报告,中国银行创新医疗的周转率混合了全年相对较低。除了第一季度CXO的清理率以及第三季度创新设备的减少外,其余交易实际上都在创新的药物中,并且根据风险风险的比率变化,各种创新目标药物的位置也增加了和减少。到去年第四季度末,排名前十的重型股票是Hengrui医学,Innolux Biotechnology,Hutchison Medicine,Kangfang Biotechnology,Connoah,Connoah,Columbotaisheng,Beigene,Rongchang Biotechnology,Hansen Pharmaceutical,Hansen Pharmaceutical和New Novi。 Zheng Ning,曾担任股票研究经理,Taikang Asset Management Co,Ltd。的高级股票研究经理;研究人员兼高级研究员(制药集团负责人)。加入中国银行基金管理公司有限公司,2022年。相比之下,在下降榜单上,三月份总共有18种混合基金以上(包括10%)下降了10%(包括10%)。值得注意的是,前11位拒绝清单与Caamitong基金下的资金混合在一起,尤其是江外一岁的牛gxin yoxuanin,一年是一个持有时间混合C的男子,Caito Smart Croptign Complention C,Caito Smart Chrompt C,Caito Smart Growth A,Caito Voluation Momentum Commentum Commentum Commentum C Momentum C Momentum C,Caito Fuxin Fuxin Fuxin固定固定的固定开放式混合。这些资金由基金经理金·Zicai(Jin Zicai)管辖,其中Caito Smart Eventry C混合了C,Caito Smart增长Halo -Hallang,由Jin Zicai和Jia Yanan共同管理,其余资金由Jin Zicai独立管理。以凯坦价值动量为例,该基金于2011年12月1日成立,并在3月下降了13.20%。 2025年4月1日,其合并净值为3.9100元。根据2024年的年度报告,凯坦混合a的价值的势头大量在全年在海外处理计算能力部门。在2024年上半年,它将对Opsorte -Investment在海外部门非常乐观,并增加了许多消费ER产品到2024年第四季度。在2024年第四季度结束时,前十大重型股票是Wanchen Group,上海电力公司,寒武纪,Shengy Electronics,Xinyisheng,Jinpan Technologn,Jinpan Technologn,Zhanda Xuchuang,Dekeli,Dekeli,Three Squirrels和Haigirrels和Haigirrels和Haigirang。 2025年3月的前100个混合资金数据来源:Tonghuashun(比例截止日期:2024年12月31日)
(收费编辑:CAI Qing)
中国的净陈述:股票市场的信息来自媒体合作社和机构,以及该集合的个人意见,仅针对投资者参考,并且不构成投资建议。投资者在此基础上以自己的风险行事。
